Albert Einstein's general theory of relativity describes how the fabric of space and time, or spacetime, is curved in response to mass. Our sun, for example, warps space around us such that planet Earth rolls around the sun like a marble tossed into a funnel (Earth does not fall into the sun due to the Earth's sideways momentum).
The theory, which was revolutionary at the time it was proposed in 1915, recast gravity as a curving of spacetime. As fundamental as this theory is to the very nature of space around us, physicists say it might not be the end of the story. Instead, they argue that theories of quantum gravity, which attempt to unify general relativity with quantum physics, hold secrets to how our universe works at the deepest levels.
One place to search for signatures of quantum gravity is in the mighty collisions between black holes, where gravity is at its most extreme. Black holes are the densest objects in the universe—their gravity is so strong that they squeeze objects falling into them into spaghetti-like noodles. When two black holes collide and merge into one larger body, they roil space-time around them, sending ripples called gravitational waves outward in all directions.
The National Science Foundation-funded LIGO, managed by Caltech and MIT, has been routinely detecting gravitational waves generated by black hole mergers since 2015 (its partner observatories, Virgo and KAGRA, joined the hunt in 2017 and 2020, respectively). So far, however, the general theory of relativity has passed test after test with no signs of breaking down.
Now, two new Caltech-led papers, in Physical Review X and Physical Review Letters, describe new methods for putting general relativity to even more stringent tests. By looking more closely at the structures of black holes, and the ripples in space-time they produce, the scientists are seeking signs of small deviations from general relativity that would hint at the presence of quantum gravity.
"When two black holes merge to produce a bigger black hole, the final black hole rings like a bell," explains Yanbei Chen (PhD '03), a professor of physics at Caltech and a co-author of both studies. "The quality of the ringing, or its timbre, may be different from the predictions of general relativity if certain theories of quantum gravity are correct. Our methods are designed to look for differences in the quality of this ringdown phase, such as the harmonics and overtones, for example."
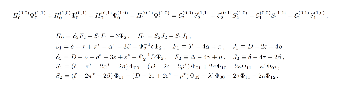
The first paper, co-led by Dongjun Li, a graduate student at Caltech, and Pratik Wagle, a graduate student at the University of Illinois at Urbana-Champaign, reports a new single equation to describe how black holes would ring within the framework of certain quantum gravity theories, or in what scientists refer to as the beyond-general-relativity regime.


The work builds upon a ground-breaking equation developed 50 years ago by Saul Teukolsky (PhD '73), the Robinson Professor of Theoretical Astrophysics at Caltech. Teukolsky had developed a complex equation to better understand how the ripples of space-time geometry propagate around black holes. In contrast to numerical relativity methods, in which supercomputers are required to simultaneously solve many differential equations pertaining to general relativity, the Teukolsky equation is much simpler to use and, as Li explains, provides direct physical insight into the problem.
"If one wants to solve all the Einstein equations of a black hole merger to accurately simulate it, they must turn to supercomputers," Li says. "Numerical relativity methods are incredibly important for accurately simulating black hole mergers, and they provide a crucial foundation for interpreting LIGO data. But it is extremely hard for physicists to draw intuitions directly from the numerical results. The Teukolsky equation gives us an intuitive look at what is going on in the ringdown phase."
Li and his collaborators were able to take Teukolsky's equation and adapt it for black holes in the beyond-general-relativity regime for the first time. "Our new equation allows us to model and understand gravitational waves propagating around black holes that are more exotic than Einstein predicted," he says.
The second paper, published in Physical Review Letters, led by Caltech graduate student Sizheng Ma, describes a new way to apply Li's equation to actual data acquired by LIGO and its partners in their next observational run. This data analysis approach uses a series of filters to remove features of a black hole's ringing predicted by general relativity, so that potentially subtle, beyond-general-relativity signatures can be revealed.
"We can look for features described by Dongjun's equation in the data that LIGO, Virgo, and KAGRA will collect," Ma says. "Dongjun has found a way to translate a large set of complex equations into just one equation, and this is tremendously helpful. This equation is more efficient and easier to use than methods we used before."
The two studies complement each other well, Li says. "I was initially worried that the signatures my equation predicts would be buried under the multiple overtones and harmonics; fortunately, Sizheng's filters can remove all these known features, which allows us to just focus on the differences," he says.
Chen added: "Working together, Li and Ma's findings can significantly boost our community's ability to probe gravity."
The first study, titled "Perturbations of spinning black holes beyond General Relativity: Modified Teukolsky equation," was funded by the Simons Foundation, the Brinson Foundation, and the National Science Foundation (NSF). Other authors include Nicolás Yunes of the University of Illinois at Urbana-Champaign. The second study, titled "Black Hole Spectroscopy by Mode Cleaning," was funded by the Brinson Foundation, the Simons Foundation, NSF, and the Australian Research Council Center of Excellence for Gravitational Wave Discovery (OzGrav). Ling Sun of the Australian National University is also a co-author.








Pictured at top of story: An artistic representation of the spacetime of a ringing black hole in modified theories of gravity. The black hole at the center is the remnant of a binary black hole merger and is emitting its last gravitational waves before settling down. Gravitational waves predicted by general relativity are represented by the blue spirals moving away from the black hole. Deviations from general relativity can appear as deformations of gravitational waves and are represented by the red spirals.
Image credit: Yasmine Steele at University of Illinois – Urbana Champaign